Colorado Deed Of Trust Form
Colorado 5 star legal forms. Deed of trust due on transfer strict page 1 of 5 1 the printed portions of this form except differentiated additions have been approved by the colorado real estate commission 2 td72 10 06 mandatory 1 07 3 if this form is used in a consumer credit transaction consult legal counsel.
Deed Of Trust Colorado Fill Out And Sign Printable Pdf Template Signnow
Space above this line for recording data deed of trust definitions words used in multiple sections of this document are defined below and other words are defined in sections 3 11 13 18 20 and 21.

Colorado deed of trust form. Borrower shall keep the improvements now existing or hereafter erected on the property. A colorado deed of trust is a guarantee between a lender and a borrower while installing a trustee as an intermediary that pledges the interest in a parcel of real property to secure the proceeds of a loan or promissory note. Deed of trust due on transfer strict page 2 of 5 58 forfeiture of the property or any part thereof only upon borrower making all such contested payments and other payments as 59 ordered by the court to the registry of the court in which such proceedings are filed.
4 this is a legal instrument. Colorado single family fannie mae freddie mac uniform instrument form 3006 1 01 page 1 of 16 pages after recording return to.
Sample Printable Closing Disclosure Conditional Release 4 Form Real Estate Forms Legal Forms Document Templates
Kansas Firearm Bill Of Sale Download The Free Printable Basic Bill Of Sale Blank Form Template In Microsoft Word In 2020 Templates Template Site Bill Of Sale Template
Http Www Vaned Com Contracts Deedoftrust Assumable H Pdf
Missouri Assignment O Deed Of Trust Fill Online Printable Fillable Blank Pdffiller
Https Www Colorado Gov Pacific Sites Default Files Atoms Files Full 20and 20partial 20release 20without 20evidence 20of 20debt Pdf
Release Of Deed Of Trust Colorado Form Fill Online Printable Fillable Blank Pdffiller
Deed Of Trust Colorado Fill Out And Sign Printable Pdf Template Signnow
Templates Deed Of Trust Templates Hunter Trust Document Sign The Deed
Sale Deed For Car Free Printable Documents Motor Car Motor Motorcyle
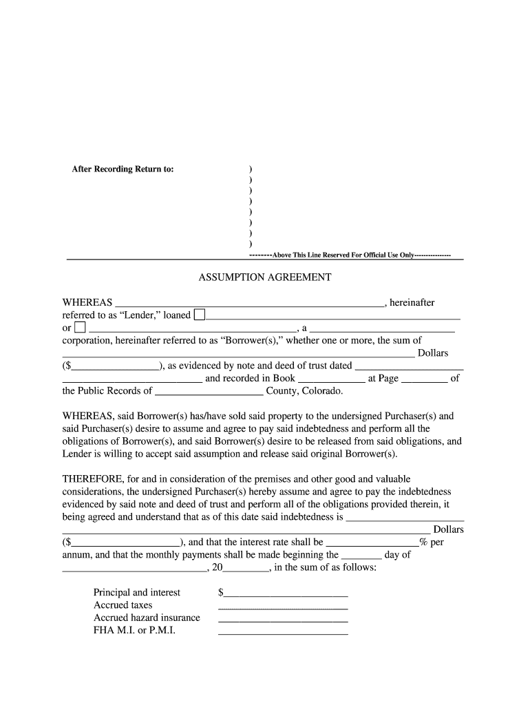
Fillable Online North Carolina Assumption Agreement Of Deed Of Trust And Release Of Original Mortgagors Fax Email Print Pdffiller
Https Www Chfainfo Com Participating Lenders Single Family Forms Chfaform205 Pdf
Free Download Colorado Promissory Note Form Pdf Rtf Word Promissory Note Template Colorado In 2020 Notes Template Promissory Note Words
Ca Promissory Note Secured Deed Trust Complete Legal Document Online Us Legal Forms
Print Free Fake Insurance Cards Djnyr Unique Fake Geico Insurance Card Template Ibrizz Besttemplates Revocable Living Trust Quitclaim Deed New Mexico
Types Of Deeds In Colorado Fidelity National Title Company Colorado Monthly Newsletter March 2013 Company Types Real Estate Forms Monthly Newsletter
Warranty Deed Colorado Fill Out And Sign Printable Pdf Template Signnow
Certificate Of Trust Form Fill Online Printable Fillable Blank Pdffiller
Tennessee Medical Release Form Download Free Printable Blank Legal Medical Release Form Template Or Wai In 2020 Medical Information Medical University Medical Records
Sample Printable Offer To Purchase Real Estate Pro Buyer Form Real Estate Forms Real Estate Templates Online Real Estate
Komentar
Posting Komentar